Welcome to Demei Chemical Technology Co., Ltd
📞 +86-0536-2205782 📧 arron.seagulls@gmail.com
Language: English | Japanese | Russian

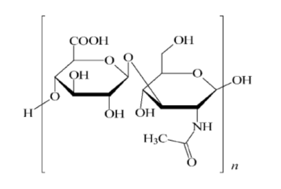
Acid, Hyaluronic

CAS No.: 9004-61-9

  • Molecular Formula: (C₁₄H₂₁NO₁₁)n
  • Molecular Weight: 379.3 g/mol

Chemical type

  • Natural polysaccharide
  • Anionic polymer
[1]
  • Glycosaminoglycan
[2]
  • Anionic non-sulphated glycosaminoglycan (GAG)
[3]

Key properties

  • Biocompatible and biodegradable
  • CD44 receptor targeting
  • Enhances cellular uptake in cancer and stem cells
[1]
  • Fundamental component of extracellular matrix
  • Provides skin moisture, elasticity, and stability
  • High-molecular-weight HA (HMWHA, >500 kDa): immunosuppressive, anti-tumor, antiangiogenic
  • Low-molecular-weight HA (LMWHA, <500 kDa): promotes lymphoma cell proliferation, accelerates tumor formation, enhances M2 macrophage polarization, stimulates angiogenesis
[2]
  • High Mw: 1.60–1.80 MDa (1% solution)
  • Carboxylic groups (–COO⁻) → anionic character
  • Highly hydrophilic, excellent water-binding capacity
  • Naturally occurring in ECM and human body
  • Non-toxic, non-allergenic, non-irritating
  • Forms polyelectrolyte complexes with cationic polymers (e.g., Ch)
[3]
  • Shielding agent for PEI/pDNA complexes
  • Targeted gene delivery to CD44+ cells (e.g., cancer cells, mesenchymal stem cells)
  • Used in nanogels and ternary complexes
[1]
  • Component of tumor microenvironment in CTCL
  • Target for cancer therapy by modulating degradation or synthesis
[2]
  • Moisturizer/hydrator in cosmetics
  • Drug delivery systems (DDS, nanoparticles)
  • Tissue engineering/scaffolds
  • Targeted therapy (e.g., Ch-HA nanoparticles for lung cancer siRNA delivery)
  • Reduces protein adsorption/macrophage uptake on cationic surfaces
[3]

Classification by use

  • Biopolymers used in targeted drug/gene delivery
  • Polymers used in regenerative medicine
[1]
  • Biological molecules in extracellular matrix
  • Therapeutic targets in oncology
[2]
  • Moisturizers
  • Biopolymers in cosmetics & drug delivery
[3]

A trustworthy factory and manufacturer

Demei Chemical Technology Co., Ltd. is a modern high-tech enterprise integrating R&D, production, and sales. The company's founder, Dr. Arron, born in April 1975, graduated from the School of Mechanical Engineering at Yanshan University and has been engaged in research in the fields of mechanical engineering and chemical synthesis for many years. The company's products focus on the chemical industry, primarily dealing in chemical raw materials and chemical production machinery and equipment. With its strong technical capabilities, advanced production equipment, and strict quality management system, the company has earned the trust of customers worldwide.

  1. [Cite:2] Polyethylenimine Carriers for Drug and Gene Delivery, Polymers, 2025, 17(15), 2150
  2. [Cite:2] Impact of Hyaluronic Acid on the Cutaneous T-Cell Lymphoma Microenvironment: A Novel Anti-Tumor Mechanism of Bexarotene, Cancers, 2025, 17(2), 324
  3. [Cite:3] The effect of chitosan/TiO2/hyaluronic acid subphase on the behaviour of 1,2-dioleoyl-sn-glycero-3-phosphocholine membrane, Biomaterials Advances, Volume 138, July 2022, 212934